1. Electric charges of \[1\mu C,-1\mu C\] and \[2\mu C\] are placed
in air at the corners A, B and C respectively of an
equilateral triangle ABC having length of each
side 10 cm. The resultant force on the charge at C
is
a) 0.9 N
b) 1.8 N
c) 2.7 N
d) 3.6 N
Explanation:

2. Charge on \[\alpha -\] particle is
a) \[4.8\times 10^{-19} C\]
b) \[1.6\times 10^{-19} C\]
c) \[3.2\times 10^{-19} C\]
d) \[6.4\times 10^{-19} C\]
Explanation:

3.Two small conducting spheres of equal radius
have charges \[+10\mu C\] and \[-20\mu C\] respectively and
placed at a distance R from each other
experience force \[F_{1}\] . If they are brought in contact
and separated to the same distance, they
experience force \[F_{2}\] . The ratio of \[F_{1}\] to \[F_{2}\] is
a) 1 : 8
b) – 8 : 1
c) 1 : 2
d) – 2 : 1
Explanation:

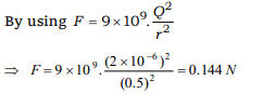
4. Two charges each equal to 2 \[\mu C\] are 0.5m apart. If
both of them exist inside vacuum, then the force
between them is
a) 1.89 N
b) 2.44 N
c) 0.144 N
d) 3.144 N
Explanation:

5.Two charges are at a distance ‘d’ apart. If a
copper plate (conducting medium) of thickness
\[\frac{d}{2}\]
is placed between them, the effective force will be
a) 2 F
b) \[F/2\]
c) 0
d) \[\sqrt{2}F\]
Explanation: Effective air separation between them becomes infinite so force becomes zero.
6. Two electrons are separated by a distance of 1Å.
What is the coulomb force between them
a) \[2.3\times 10^{-8} N\]
b) \[4.6\times 10^{-8} N\]
c) \[1.5\times 10^{-8} N\]
d) None of these
Explanation:

7. Two copper balls, each weighing 10g are kept in
air 10 cm apart. If one electron from every 106
atoms is transferred from one ball to the other,
the coulomb force between them is (atomic
weight of copper is 63.5)
a) \[2.0\times 10^{10} N\]
b) \[2.0\times 10^{4} N\]
c) \[2.0\times 10^{8} N\]
d) \[2.0\times 10^{6} N\]
Explanation: Number of atoms in given mass


8. A solid conducting sphere of radius a has a net
positive charge 2Q. A conducting spherical shell of
inner radius b and outer radius c is concentric
with the solid sphere and has a net charge – Q.
The surface charge density on the inner and outer
surfaces of the spherical shell will be
a) \[-\frac{2Q}{4\pi b^{2}},\frac{Q}{4\pi c^{2}}\]
b) \[-\frac{Q}{4\pi b^{2}},\frac{Q}{4\pi c^{2}}\]
c) \[0,\frac{Q}{4\pi c^{2}}\]
d) None of the above
Explanation:

9.Three charges each of magnitude q are placed at
the corners of an equilateral triangle, the
electrostatic force on the charge placed at the
center is (each side of triangle is L)
a) Zero
b) \[\frac{1}{4\pi \epsilon_{0}}\frac{q^{2}}{L^{2}}\]
c) \[\frac{1}{4\pi \epsilon_{0}}\frac{3q^{2}}{L^{2}}\]
d) \[\frac{1}{12\pi \epsilon_{0}}\frac{q^{2}}{L^{2}}\]
Explanation:

10. Two charges placed in air repel each other by a
force of \[ 10^{-4} N\] . When oil is introduced between
the charges, the force becomes \[2.5\times 10^{-5} N\] . The
dielectric constant of oil is
a) 2.5
b) 0.25
c) 2.0
d) 4.0
Explanation:
