1. Three charges \[Q,\left(+q\right)\] and \[\left(+q\right)\] are placed at the
vertices of an equilateral triangle of side l as
shown in the figure. If the net electrostatic energy
of the system is zero, then Q is equal to
a) \[\left(-\frac{q}{2}\right)\]
b) \[\left(-q\right)\]
c) \[\left(+q\right)\]
d) Zero
Explanation:

2. A positively charged particle moving along x-axis
with a certain velocity enters a uniform electric
field directed along positive y-axis. Its
a) Vertical velocity changes but horizontal
velocity remains constant
b) Horizontal velocity changes but vertical
velocity remains constant
c) Both vertical and horizontal velocities change
d) Neither vertical nor horizontal velocity
changes
Explanation:

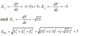
3.Electric potential at any point is
\[v=-5x+3y+\sqrt{15}z\] , then the magnitude of the
electric field is
a) \[3\sqrt{2}\]
b) \[4\sqrt{2}\]
c) \[5\sqrt{2}\]
d) 7
Explanation:

4. The work done in bringing a 20 coulomb charge
from point A to point B for distance 0.2m is 2J.
The potential difference between the two points
will be (in volt)
a) 0.2
b) 8
c) 0.1
d) 0.4
Explanation:

5. A hollow sphere of charge does not produce an
electric field at any
a) Point beyond 2 metres
b) Point beyond 10 metres
c) Interior point
d) Outer point
Explanation: Inside the hollow charged spherical conductor electric field is zero.
6. If \[4\times10^{20}eV\] energy is required to move a charge
of 0.25 coulomb between two points. Then what
will be the potential difference between them
a) 178 V
b) 256 V
c) 356 V
d) None of these
Explanation:

7.A drop of \[10^{-6}kg\] water carries \[10^{-6}C\] charge.
What electric field should be applied to balance
its weight (assume g = 10 m/s2)
a) 10 V/m upward
b) 10 V/m downward
c) 0.1 V/m downward
d) 0.1 V/m upward
Explanation:

8. A charged particle of mass 0.003 gm is held
stationary in space by placing it in a downward
direction of electric field of \[6 \times 10^{4}N/C\] . Then the
magnitude of the charge is
a) \[5\times10^{-4}C\]
b) \[5\times10^{-10}C\]
c) \[-18\times10^{-6}C\]
d) \[-5\times10^{-9}C\]
Explanation: By using QE = mg

9.Two point charges \[+9e\] and \[+e\] are at 16 cm away
from each other. Where should another charge q
be placed between them so that the system
remains in equilibrium
a) 24 cm from\[+9e\]
b) 12 cm from \[+9e\]
c) 24 cm from \[+e\]
d) 12 cm from \[+e\]
Explanation:

10. If 3 charges are placed at the vertices of
equilateral triangle of charge ‘q’ each. What is the
net potential energy, if the side of equilateral \[\triangle\]
is l cm
a) \[\frac{1}{4\pi\epsilon_{0}}\frac{q^{2}}{l}\]
b) \[\frac{1}{4\pi\epsilon_{0}}\frac{2q^{2}}{l}\]
c) \[\frac{1}{4\pi\epsilon_{0}}\frac{3q^{2}}{l}\]
d) \[\frac{1}{4\pi\epsilon_{0}}\frac{4q^{2}}{l}\]
Explanation:
