Electric Charges and Fields Questions and Answers Part-11

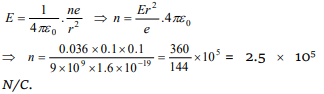
1. The number of electrons to be put on a spherical conductor of radius 0.1 m to produce an electric field of 0.036 N /C just above its surface is
a) \[2.7 \times 10^{5}\]
b) \[2.6 \times 10^{5}\]
c) \[2.5 \times 10^{5}\]
d) \[2.4 \times 10^{5}\]

Answer: c
Explanation:
q101

2. Two plates are 2 cm apart, a potential difference of 10 volt is applied between them, the electric field between the plates is
a) 20 N /C
b) 500 N /C
c) 5 N /C
d) 250 N /C

Answer: b
Explanation:
q102

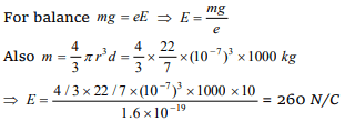
3.The intensity of the electric field required to keep a water drop of radius 10-5 cm just suspended in air when charged with one electron is approximately
a) 260 volt / cm
b) 260 newton / coulomb
c) 130 volt / cm
d) 130 newton / coulomb

Answer: b
Explanation:
q103

4. Conduction electrons are almost uniformly distributed within a conducting plate. When placed in an electrostatic field \[\vec{E}\] , the electric field within the plate
a) Is zero
b) Depends upon E
c) Depends upon \[\vec{E}\]
d) Depends upon the atomic number of the conducting element

Answer: a
Explanation: Electric field inside a conductor is zero.

5. Three particles, each having a charge of \[10 \mu C\]  are placed at the corners of an equilateral triangle of side 10 cm . The electrostatic potential energy of the system is (Given \[\frac{1}{4\pi\epsilon_{0}} =9\times 10^{9}N-m^{2}/c^{2})\]
a) zero
b) Infinite
c) 27 J
d) 100 J

Answer: c
Explanation:
q105

6. The electric field near a conducting surface having a uniform surface charge density \[\sigma\] is given by
a) \[\frac{\sigma}{\epsilon_{0}}\] and is parallel to the surface
b) \[\frac{2\sigma}{\epsilon_{0}}\]and is parallel to the surface
c) \[\frac{\sigma}{\epsilon_{0}}\] and is normal to the surface
d) \[\frac{2\sigma}{\epsilon_{0}}\] and is normal to the surface

Answer: c
Explanation:
q106

7. There is an electric field E in X-direction. If the work done on moving a charge 0.2 C through a distance of 2 m along a line making an angle \[60^{\circ}\] with the X-axis is 4.0, what is the value of E
a) \[\sqrt{3}N/C\]
b) 4 N /C
c) 5 N /C
d) None of these

Answer: d
Explanation:
q107
q107a

8. Four equal charges Q are placed at the four corners of a square of each side is 'a' . Work done in removing a charge – Q from its centre to infinity is
a) o
b) \[\frac{\sqrt{2}Q^{2}}{4\pi\epsilon_{0}a}\]
c) \[\frac{\sqrt{2}Q^{2}}{\pi\epsilon_{0}a}\]
d) \[\frac{Q^{2}}{2\pi\epsilon_{0}a}\]

Answer: c
Explanation:
q108

9.A particle A has charge \[+q\]  and a particle B has charge \[+4q\]  with each of them having the same mass m . When allowed to fall from rest through the same electric potential difference, the ratio of their speed \[\frac{V_{A}}{V_{B}}\]  will become
a) 2 : 1
b) 1 : 2
c) 1 : 4
d) 4 : 1

Answer: b
Explanation:
q109

10. Deutron and \[\alpha -\] particle are put 1 Å apart in air. Magnitude of intensity of electric field due to deutron at \[\alpha -\] particle is
a) zero
b) \[2.88\times 10^{11}\]   newton / coulomb
c) \[1.44\times 10^{11}\]   newton / coulomb
d) \[5.76\times 10^{11}\]   newton / coulomb

Answer: c
Explanation:
q110