Electric Charges and Fields Questions and Answers Part-2

1. The minimum charge on an object is
a) 1 coulomb
b) 1 stat coulomb
c) \[ 1.6\times 10 ^{-19} coulomb \]
d) \[ 3.2\times 10 ^{-19} coulomb \]

Answer: c
Explanation: All other charges are its integral multiple

2. Out of gravitational, electromagnetic, Vander Waals, electrostatic and nuclear forces; which two are able to provide an attractive force between two neutrons
a) Electrostatic and gravitational
b) Electrostatic and nuclear
c) Gravitational and nuclear
d) Some other forces like Vander Waals

Answer: c
Explanation: Gravitational force and nuclear force both are attractive in nature

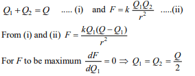
3. A total charge Q is broken in two parts \[Q_{1}\] and \[Q_{2}\] and they are placed at a distance R from each other. The maximum force of repulsion between them will occur, when
a) \[Q_{2} =\frac{Q}{R},Q_{1} =Q-\frac{Q}{R}\]
b) \[Q_{2} =\frac{Q}{4},Q_{1} =Q-\frac{2Q}{3}\]
c) \[Q_{2} =\frac{Q}{4},Q_{1} =\frac{3Q}{4}\]
d) \[Q_{1} =\frac{Q}{2},Q_{2} =\frac{Q}{2}\]

Answer: d
Explanation:
q13

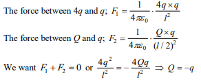
4. Three charges 4q, Q and q are in a straight line in the position of O, l/2 and l respectively. The resultant force on q will be zero, if Q =
a) – q
b) –2 q
c) \[-\frac{q}{2}\]
d) 4 q

Answer: a
Explanation:
q14

5. An isolated solid metallic sphere is given +Q charge. The charge will be distributed on the sphere
a) Uniformly but only on surface
b) Only on surface but non-uniformly
c) Uniformly inside the volume
d) Non-uniformly inside the volume

Answer: a
Explanation: The charge given to a sphere will be distributed uniformly over the surface.

6. Two small spheres each having the charge +Q are suspended by insulating threads of length L from a hook. This arrangement is taken in space where there is no gravitational effect, then the angle between the two suspensions and the tension in each will be
a) \[180^{\circ},\frac{1}{4\pi\epsilon_{0}}\frac{Q^{2}}{\left(2L\right)^{2}}\]
b) \[90^{\circ},\frac{1}{4\pi\epsilon_{0}}\frac{Q^{2}}{L^{2}}\]
c) \[180^{\circ},\frac{1}{4\pi\epsilon_{0}}\frac{Q^{2}}{2L^{2}}\]
d) \[180^{\circ},\frac{1}{4\pi\epsilon_{0}}\frac{Q^{2}}{L^{2}}\]

Answer: a
Explanation:
q16

7. Two charges each of 1 coulomb are at a distance 1km apart, the force between them is
a) \[9\times 10^{3}Newton\]
b) \[9\times 10^{-3}Newton\]
c) \[1.1\times 10^{-4}Newton\]
d) \[ 10^{4}Newton\]

Answer: a
Explanation:
q17

8. +2C and +6C two charges are repelling each other with a force of 12 N . If each charge is given -2C of charge, then the value of the force will be
a) 4N (Attractive)
b) 4N (Repulsive)
c) 8N (Repulsive)
d) Zero

Answer: d
Explanation:
q18

9.Dielectric constant of pure water is 81. Its permittivity will be
a) \[7.12\times 10^{-10}\]    MKS units
b) \[8.86\times 10^{-12}\]    MKS units
c) \[1.02\times 10^{13}\]    MKS units
d) Cannot be calculated

Answer: a
Explanation:
q19

10. There are two metallic spheres of same radii but one is solid and the other is hollow, then
a) Solid sphere can be given more charge
b) Hollow sphere can be given more charge
c) They can be charged equally (maximum)
d) None of the above

Answer: c
Explanation: Because in case of metallic sphere either solid or hollow, the charge will reside on the surface of the sphere. Since both spheres have same surface area, so they can hold equal maximum charge