1. An electron is moving towards x-axis. An electric
field is along y-direction then path of electron is
a) Circular
b) Elliptical
c) Parabola
d) None of these
Explanation: When charge enters perpendicularly in electric field, it describe parabolic path.
2. An electron enters in an electric field with its
velocity in the direction of the electric lines of
force. Then
a) The path of the electron will be a circle
b) The path of the electron will be a parabola
c) The velocity of the electron will decrease
d) The velocity of the electron will increase
Explanation: Because electric field applies the force on electron in the direction opposite to it’s motion.
3.An electron of mass m and charge e is
accelerated from rest through a potential
difference V in vacuum. The final speed of the
electron will be
a) \[V\sqrt{e/m}\]
b) \[\sqrt{eV/m}\]
c) \[\sqrt{2eV/m}\]
d) \[2eV/m\]
Explanation:

4.The radius of a soap bubble whose potential is
16V is doubled. The new potential of the bubble
will be
a) 2V
b) 4V
c) 8V
d) 16 v
Explanation:

5.The dimension of \[(1/2)\epsilon_{0}E^{2}(\epsilon_{0}\] : permittivity of
free space; E : electric field) is
a) \[MLT^{-1}\]
b) \[ML^{2}T^{-2}\]
c) \[ML^{-1}T^{-2}\]
d) \[ML^{2}T^{-1}\]
Explanation:

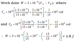
6. In the rectangle, shown below, the two corners
have charges \[q_{1}=-5 \mu C\] and \[q_{2}=+2.0 \mu C\] . The
work done in moving a charge \[+3.0 \mu C\] from B to
A is (take \[1/4\pi\epsilon_{0}=10^{10}N-m^{2}/C^{2})\]
a) 2.8 J
b) 3.5 j
c) 4.5 J
d) 5.5 J
Explanation:

7. A cube of a metal is given a positive charge Q. For
the above system, which of the following
statements is true
a) Electric potential at the surface of the cube is
zero
b) Electric potential within the cube is zero
c) Electric field is normal to the surface of the
cube
d) Electric field varies within the cube
Explanation: Electric lines of force are always normal to metallic body.
8. If q is the charge per unit area on the surface of a
conductor, then the electric field intensity at a
point on the surface is
a) \[\left(\frac{q}{\epsilon_{0}}\right)\] normal to surface
b) \[\left(\frac{q}{2\epsilon_{0}}\right)\] normal to surface
c) \[\left(\frac{q}{\epsilon_{0}}\right)\] tangential to surface
d) \[\left(\frac{q}{2\epsilon_{0}}\right)\] tangential to surface
Explanation: \[\left(\frac{q}{\epsilon_{0}}\right)\] normal to surface
9.A hollow conducting sphere of radius R has a
charge \[\left(+Q\right)\] on its surface. What is the electric
potential within the sphere at a distance \[r=\frac{R}{3}\]
from its centre
a) Zero
b) \[\frac{1}{4\pi\epsilon_{0}}\frac{Q}{r}\]
c) \[\frac{1}{4\pi\epsilon_{0}}\frac{Q}{R}\]
d) \[\frac{1}{4\pi\epsilon_{0}}\frac{Q}{r^{2}}\]
Explanation: Inside a conducting body, potential is same everywhere and equals to the potential of it’s surface
10. A spherical conductor of radius 2m is charged to a
potential of 120 V. It is now placed inside another
hollow spherical conductor of radius 6m.
Calculate the potential to which the bigger sphere
would be raised
a) 20 V
b) 60 V
c) 80 V
d) 40 V
Explanation:
