1. In the figure the charge Q is at the centre of the
circle. Work done is maximum when another
charge is taken from point P to
a) K
b) L
c) M
d) N
Explanation: Work done in moving a charge from P to L, P to M and P to N is zero.
2. A mass \[m=20g\] has a charge \[q=3.0mC\] . It moves
with a velocity of 20 m / s and enters a region of
electric field of \[80 N/ C\] in the same direction as
the velocity of the mass. The velocity of the mass
after 3 seconds in this region is
a) 80 m/ s
b) 56 m/ s
c) 44 m/ s
d) 40 m/ s
Explanation:

3.Four identical charges \[+50 \mu C\] each are placed,
one at each corner of a square of side 2 m . How
much external energy is required to bring another
charge of \[+50 \mu C\] from infinity to the centre of the
square (Given \[\frac{1}{4\pi\epsilon_{0}}=9\times10^{9}\frac{Nm^{2}}{C^{2}})\]
a) 64 J
b) 41 J
c) 16 J
d) 10 J
Explanation:

4. In Millikan's oil drop experiment an oil drop
carrying a charge Q is held stationary by a
potential difference 2400 V between the plates.
To keep a drop of half the radius stationary the
potential difference had to be made 600 V . What
is the charge on the second drop
a) \[\frac{Q}{4}\]
b) \[\frac{Q}{2}\]
c) Q
d) \[\frac{3Q}{2}\]
Explanation:

5.A charge of 5 C experiences a force of 5000 N
when it is kept in a uniform electric field. What is
the potential difference between two points
separated by a distance of 1 cm
a) 10 V
b) 250 V
c) 1000 V
d) 2500 V
Explanation:

6. Two insulated charged conducting spheres of radii
20 cm and 15 cm respectively and having an equal
charge of 10 C are connected by a copper wire
and then they are separated. Then
a) Both the spheres will have the same charge of
10 C
b) Surface charge density on the 20 cm sphere
will be greater than that on the 15 cm sphere
c) Surface charge density on the 15 cm sphere
will be greater than that on the 20 cm sphere
d) Surface charge density on the two spheres
will be equal
Explanation:

7. Equal charges q are placed at the vertices A and
B of an equilateral triangle ABC of side a . The
magnitude of electric field at the point C is
a) \[\frac{q}{4\pi\epsilon_{0}a^{2}}\]
b) \[\frac{\sqrt{2 }q}{4\pi\epsilon_{0}a^{2}}\]
c) \[\frac{\sqrt{3 }q}{4\pi\epsilon_{0}a^{2}}\]
d) \[\frac{q}{2\pi\epsilon_{0}a^{2}}\]
Explanation:

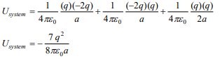
8. Two equal charges q are placed at a distance of
2a and a third charge -2q is placed at the
midpoint. The potential energy of the system is
a) \[\frac{q^{2}}{8\pi\epsilon_{0}a}\]
b) \[\frac{6q^{2}}{8\pi\epsilon_{0}a}\]
c) \[-\frac{7q^{2}}{8\pi\epsilon_{0}a}\]
d) \[\frac{9q^{2}}{8\pi\epsilon_{0}a}\]
Explanation:

9.Two point charges \[100\mu C\] and \[5\mu C\] are placed at
points A and B respectively with \[AB=40cm\] . The
work done by external force in displacing the
charge \[5\mu C\] from B to C , where \[BC=30cm\] ,
angle \[ABC=\frac{\pi}{2}\] and \[\frac{1}{4\pi\epsilon_{0}}=9\times10^{9}Nm^{2}/C^{2}\]
a) 9 J
b) \[\frac{81}{20}J\]
c) \[\frac{9}{25}J\]
d) \[-\frac{9}{4}J\]
Explanation:


10. The unit of intensity of electric field is
a) Newton /Coulomb
b) Joule / Coulomb
c) Volt - metre
d) Newton /metre
Explanation:
