1.Two similar spheres having \[+q\] and \[-q\] charge
are kept at a certain distance. F force acts
between the two. If in the middle of two spheres,
another similar sphere having \[+q\] charge is kept,
then it experience a force in magnitude and
direction as
a) Zero having no direction
b) 8F towards \[+q\] charge
c) 8F towards \[-q\] charge
d) 4F towards \[+q\] charge
Explanation:

2. A charge Q is divided into two parts of q and
\[Q-q\] . If the coulomb repulsion between them
when they are separated is to be maximum, the
ratio of \[\frac{Q}{q}\] should be
a) 2
b) 1/2
c) 4
d) 1/4
Explanation:


3.Number of electrons in one coulomb of charge
will be
a) \[5.46\times 10^{29}\]
b) \[6.25\times 10^{18}\]
c) \[1.6\times 10^{+19}\]
d) \[9\times 10^{11}\]
Explanation:

4. When air is replaced by a dielectric medium of
constant k , the maximum force of attraction
between two charges separated by a distance
a) Decreases k times
b) Remains unchanged
c) Increases k times
d) Increases \[k^{-1}\] times
Explanation:

5. A glass rod rubbed with silk is used to charge a
gold leaf electroscope and the leaves are observed
to diverge. The electroscope thus charged is
exposed to X-rays for a short period. Then
a) The divergence of leaves will not be affected
b) The leaves will diverge further
c) The leaves will collapse
d) The leaves will melt
Explanation: Charge on glass rod is positive, so charge on gold leaves will also be positive. Due to Xrays, more electrons from leaves will be emitted, so leaves becomes more positive and diverge further.
6. One metallic sphere A is given positive charge
whereas another identical metallic sphere B of
exactly same mass as of A is given equal amount
of negative charge. Then
a) Mass of A and mass of B still remain equal
b) Mass of A increases
c) Mass of B decreases
d) Mass of B increases
Explanation: Negative charge means excess of electron which increases the mass of sphere B
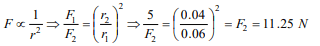
7. The force between two charges 0.06 m apart is
5 N . If each charge is moved towards the other by
0.01m , then the force between them will become
a) 7.20 N
b) 11.25 N
c) 22.50 N
d) 45.00 N
Explanation:

8. Two charged spheres separated at a distance d
exert a force F on each other. If they are
immersed in a liquid of dielectric constant 2, then
what is the force (if all conditions are same)
a) \[\frac{F}{2}\]
b) F
c) 2F
d) 4F
Explanation:

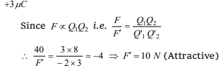
9.Two point charges \[+3\mu C\] and \[+8\mu C\] repel each
other with a force of 40 N. If a charge of \[-5\mu C\] is
added to each of them, then the force between
them will become
a) \[- 10 N\]
b) \[+ 10 N\]
c) \[+ 20 N\]
d) \[- 20 N\]
Explanation:


10. When \[10^{19}\] electrons are removed from a neutral
metal plate, the electric charge on it is
a) \[- 1.6 C\]
b) \[+ 1.6 C\]
c) \[10^{+19} C\]
d) \[10^{-19} C\]
Explanation:
