1. An electron enters between two horizontal plates
separated by 2mm and having a potential
difference of 1000V. The force on electron is
a) \[8\times 10^{-12} N\]
b) \[8\times 10^{-14} N\]
c) \[8\times 10^{9} N\]
d) \[8\times 10^{14} N\]
Explanation:

2.Electric charges of \[+10\mu C,+5\mu C,-3\mu C\] and \[+8\mu C\]
are placed at the corners of a square of side \[\sqrt{2}m\] .
the potential at the centre of the square is
a) 1.8 V
b) \[1.8\times 10^{6} V\]
c) \[1.8\times 10^{5} V\]
d) \[1.8\times 10^{4} V\]
Explanation:

3.What is the magnitude of a point charge which
produces an electric field of 2 N/coulomb at a
distance of 60 cm \[\left(1/4\pi\epsilon_{0}=9\times 10^{9} N-m^{2}/C^{2}\right)\]
a) \[8\times 10^{-11} C\]
b) \[2\times 10^{-12} C\]
c) \[3\times 10^{-11} C\]
d) \[6\times 10^{-10} C\]
Explanation:


4. The electric field due to a charge at a distance of 3
m from it is 500 N/coulomb. The magnitude of the
charge is \[\left(\frac{1}{4\pi\epsilon_{0}}=9\times 10^{9} \frac{N-m^{2}}{coulomb^{2}}\right)\]
a) 2.5 micro-coulomb
b) 2.0 micro-coulomb
c) 1.0 micro-coulomb
d) 0.5 micro-coulomb
Explanation:


5. Two charges of \[4\mu C\] each are placed at the corners A and B of an equilateral triangle of side length 0.2 m in air. The electric potential at C is \[\left(\frac{1}{4\pi\epsilon_{0}}=9\times 10^{9} \frac{N-m^{2}}{C^{2}}\right)\]
a) \[9\times 10^{4} V\]
b) \[18\times 10^{4} V\]
c) \[36\times 10^{4} V\]
d) \[36\times 10^{-4} V\]
Explanation:


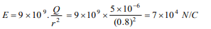
6.Electric field strength due to a point charge of
\[5\mu C\] at a distance of 80 cm from the charge is
a) \[8\times 10^{4} N/C\]
b) \[7\times 10^{4} N/C\]
c) \[5\times 10^{4} N/C\]
d) \[4\times 10^{4} N/C\]
Explanation:

7.Ten electrons are equally spaced and fixed around
a circle of radius R. Relative to V = 0 at infinity,
the electrostatic potential V and the electric field
E at the centre C are
a) \[ V\neq 0\] and \[\vec{E}\neq 0\]
b) \[ V\neq 0\] and \[\vec{E}= 0\]
c) V= 0 and \[\vec{E}= 0\]
d) V= 0 and \[\vec{E}\neq 0\]
Explanation:

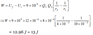
8. Two positive point charges of 12 \[\mu C\] and 8 \[\mu C\] are
10cm apart. The work done in bringing them 4 cm
closer is
a) 5.8 J
b) 5.8 eV
c) 13 J
d) 13 eV
Explanation:

9.Three identical point charges, as shown are
placed at the vertices of an isosceles right angled
triangle. Which of the numbered vectors coincides
in direction with the electric field at the midpoint
M of the hypotenuse
a) 1
b) 2
c) 3
d) 4
Explanation: EA = Electric field at M due to charge placed at A

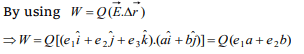
10. The displacement of a charge Q in the electric
field \[E=e_{1}\hat{i}+e_{2}\hat{j}+e_{3}\hat{k}\] is \[\hat{r}=a\hat{i}+b\hat{j}\] . The work done
is
a) \[Q\left(ae_{1}+be_{2}\right)\]
b) \[Q\sqrt{\left(ae_{1}\right)^{2}+\left(be_{2}\right)^{2}}\]
c) \[Q\left(e_{1}+e_{2}\right)\sqrt{a^{2}+b^{2}}\]
d) \[Q\left(\sqrt{e_1^2+e_2^2}\right)\left(a+b\right)\]
Explanation:
