Oscillations Questions and Answers Part-5

1. The displacement of an oscillating particle varies with time (in seconds) according to the equation \[y\left( cm \right)=\sin\frac{\pi}{2}\left(\frac{t}{2}+\frac{1}{3}\right)\]     . The maximum acceleration of the particle is approximately
a) 5.21 cm / \[s^{2}\]
b) 3.62 cm / \[s^{2}\]
c) 1.81 cm / \[s^{2}\]
d) 0.62 cm / \[s^{2}\]

Answer: d
Explanation:
q41

2.A particle moving along the x-axis executes simple harmonic motion, then the force acting on it is given by
a) – A Kx
b) A cos (Kx)
c) A exp (– Kx)
d) A Kx

Answer: a
Explanation:
q42

3.A body is vibrating in simple harmonic motion with an amplitude of 0.06 m and frequency of 15 Hz. The velocity and acceleration of body is
a) 5.65 m/s and 5.32 \[\times 10^{2}m/s^{2}\]
b) 6.82 m/s and 7.62 \[\times 10^{2}m/s^{2}\]
c) 8.91 m/s and 8.21 \[\times 10^{2}m/s^{2}\]
d) 9.82 m/s and 9.03 \[\times 10^{2}m/s^{2}\]

Answer: a
Explanation:
q43

4. A particle executes harmonic motion with an angular velocity and maximum acceleration of 3.5 rad/sec and 7.5 m \[/s^{2}\]  respectively. The amplitude of oscillation is
a) 0.28 m
b) 0.36 m
c) 0.53 m
d) 0.61 m

Answer: d
Explanation:
q44

5. A 0.10 kg block oscillates back and forth along a horizontal surface. Its displacement from the origin is given by: x =(10 cm) cos [ (10 rad/s) t + \[\pi\] /2 rad]
. What is the maximum acceleration experienced by the block
a) 10 m/ \[s^{2}\]
b) 10 \[\pi m/s^{2}\]
c) \[\frac{10\pi}{2}\]   \[m/s^{2}\]
d) \[\frac{10\pi}{3}\]  \[ m/s^{2}\]

Answer: a
Explanation:
q45

6.A particle is executing simple harmonic motion with an amplitude of 0.02 metre and frequency 50 Hz. The maximum acceleration of the particle is
a) 100 m/ \[s^{2}\]
b) 100 \[\pi^{2} m/s^{2}\]
c) 200 m/\[s^{2}\]
d) 200 \[\pi^{2} m/s^{2}\]

Answer: d
Explanation:
q46

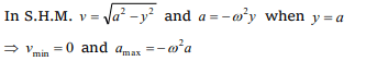
7.Which one of the following statements is true for the speed v and the acceleration a of a particle executing simple harmonic motion
a) When v is maximum, a is maximum
b) Value of a is zero, whatever may be the value of v
c) When v is zero, a is zero
d) When v is maximum, a is zero

Answer: d
Explanation:
q47

8. What is the maximum acceleration of the particle doing the SHM \[y=2 \sin\left[\frac{\pi t}{2}+\phi\right]\]
where 2 is in cm
a) \[\frac{\pi}{2} cm/s^{2}\]
b) \[\frac{\pi^{2}}{2} cm/s^{2}\]
c) \[\frac{\pi}{4} cm/s^{2}\]
d) \[\frac{\pi}{4} cm/s^{2}\]

Answer: b
Explanation:
q48

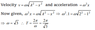
9. A particle executes linear simple harmonic motion with an amplitude of 2 cm. When the particle is at 1 cm from the mean position the magnitude of its velocity is equal to that of its acceleration. Then its time period in seconds is
a) \[\frac{1}{2\pi\sqrt{3}}\]
b) \[2\pi\sqrt{3}\]
c) \[\frac{2\pi}{\sqrt{3}}\]
d) \[\frac{\sqrt{3}}{2\pi}\]

Answer: c
Explanation:
q49

10. In simple harmonic motion, the ratio of acceleration of the particle to its displacement at any time is a measure of
a) Spring constant
b) Angular frequency
c) (Angular frequency)2
d) Restoring force

Answer: c
Explanation:
q50