Oscillations Questions and Answers Part-10

1. What is constant in S.H.M
a) Restoring force
b) Kinetic energy
c) Potential energy
d) Periodic time

Answer: d
Explanation: Periodic time

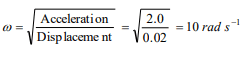
2.If a simple harmonic oscillator has got a displacement of 0.02 m and acceleration equal to 2.0 m \[s^{-2}\] at any time, the angular frequency of the oscillator is equal to
a) 10 rad \[s^{-1}\]
b) 0.1 rad \[s^{-1}\]
c) 100 rad \[s^{-1}\]
d) 1 rad \[s^{-1}\]

Answer: a
Explanation:
q92

3.The equation of a simple harmonic motion is \[x=0.34\cos\left(3000 t+0.74\right)\]      where X and t are in mm and sec. The frequency of motion is
a) 3000
b) \[3000/2\pi\]
c) \[0.74/2\pi\]
d) \[3000/\pi\]

Answer: b
Explanation:
q93

4. Mark the wrong statement
a) All S.H.M.’s have fixed time period
b) All motion having same time period are S.H.M
c) In S.H.M. total energy is proportional to square of amplitude
d) Phase constant of S.H.M. depends upon initial conditions

Answer: b
Explanation: All motion having same time period are S.H.M

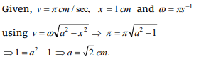
5. A particle in SHM is described by the displacement equation \[x\left(t\right)=A\cos\left(\omega t+\theta\right)\]
. If the initial (t = 0) position of the particle is 1 cm and its initial velocity is \[\pi\] cm/s, what is its amplitude? The angular frequency of the particle is \[\pi\] \[s^{-1}\]
a) 1 cm
b) \[\sqrt{2}cm\]
c) 2 cm
d) 2.5 cm

Answer: b
Explanation:
q95

6. A particle executes SHM in a line 4 cm long. Its velocity when passing through the centre of line is 12 cm/s. The period will be
a) 2.047 s
b) 1.047 s
c) 3.047 s
d) 0.047 s

Answer: b
Explanation:
q96

7.The displacement x (in metre) of a particle in, simple harmonic motion is related to time t (in seconds) as \[x=0.01\cos\left(\pi t+\frac{\pi}{4}\right)\]
The frequency of the motion will be
a) 0.5 HZ
b) 1.0 Hz
c) \[\frac{\pi}{2} HZ\]
d) \[\pi HZ\]

Answer: a
Explanation:
q97

8. A simple harmonic wave having an amplitude a and time period T is represented by the equation \[y=5\sin\pi\left(t+4\right)m\]     . Then the value of amplitude (a) in (m) and time period (T) in second are
a) \[a = 10, T = 2\]
b) \[a = 5, T = 1\]
c) \[a = 10, T = 1\]
d) \[a = 5, T = 2\]

Answer: d
Explanation:
q98

9. A particle executing simple harmonic motion of amplitude 5 cm has maximum speed of 31.4 cm/s. The frequency of its oscillation is
a) 3 Hz
b) 2 Hz
c) 4 Hz
d) 1 Hz

Answer: d
Explanation:
q99

10. The displacement x (in metres) of a particle performing simple harmonic motion is related to time t (in seconds) as \[x = 0.05\cos\left(4\pi t+\frac{\pi}{4}\right)\]     . The frequency of the motion will be
a) 0.5 Hz
b) 1.0 Hz
c) 1.5 Hz
d) 2.0 Hz

Answer: d
Explanation:
q100