Oscillations Questions and Answers Part-17

1. A spring is stretched by 0.20 m, when a mass of 0.50 kg is suspended. When a mass of 0.25 kg is suspended, then its period of oscillation will be (g = 10 m/ \[s^{2}\]  )
a) 0.328 sec
b) 0.628 sec
c) 0.137 sec
d) 1.00 sec

Answer: b
Explanation:
q161

2. A mass M is suspended from a spring of negligible mass. The spring is pulled a little and then released so that the mass executes simple harmonic oscillations with a time period T. If the mass is increased by m then the time period becomes \[\left(\frac{5}{4}T\right)\]   .The ratio of \[\left(\frac{m}{M}\right)\] is
a) 9/16
b) 25/16
c) 4/5
d) 5/4

Answer: a
Explanation:
q162

3.A spring having a spring constant ‘K’ is loaded with a mass ‘m’. The spring is cut into two equal parts and one of these is loaded again with the same mass. The new spring constant is
a) K/2
b) K
c) 2K
d) \[k^{2}\]

Answer: c
Explanation:
q163

4. A weightless spring which has a force constant oscillates with frequency n when a mass m is suspended from it. The spring is cut into two equal halves and a mass 2m is suspended from it. The frequency of oscillation will now become
a) n
b) 2n
c) \[n/\sqrt{2}\]
d) \[n\left(2\right)^{1/2}\]

Answer: a
Explanation:
q164

5. A mass M is suspended from a light spring. An additional mass m added displaces the spring further by a distance x. Now the combined mass will oscillate on the spring with period
a) \[T=2\pi\sqrt{\left(mg/x\left(M+m\right)\right)}\]
b) \[T=2\pi\sqrt{\left(\left(M+m\right)x/mg\right)}\]
c) \[T=\left(\pi/2\right)\sqrt{\left(mg/x\left(M+m\right)\right)}\]
d) \[T=2\pi\sqrt{\left(\left(M+m\right)/mgx\right)}\]

Answer: b
Explanation:
q165

6. In the figure, S1 and S2 are identical springs. The oscillation frequency of the mass m is f . If one spring is removed, the frequency will become
166
a) f
b) \[f\times 2\]
c) \[f\times \sqrt{2}\]
d) \[f/ \sqrt{2}\]

Answer: d
Explanation:
q166

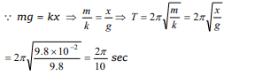
7. The vertical extension in a light spring by a weight of 1 kg suspended from the wire is 9.8 cm. The period of oscillation
a) \[20\pi\]  sec
b) \[2\pi\]  sec
c) \[2\pi/10\]  sec
d) \[200\pi\]  sec

Answer: c
Explanation:
q167

8. A particle of mass 200 gm executes S.H.M. The restoring force is provided by a spring of force constant 80 N / m. The time period of oscillations is
a) 0.31 sec
b) 0.15 sec
c) 0.05 sec
d) 0.02 sec

Answer: a
Explanation:
q168

9. The length of a spring is l and its force constant is k. When a weight W is suspended from it, its length increases by x. If the spring is cut into two equal parts and put in parallel and the same weight W is suspended from them, then the extension will be
a) 2 x
b) x
c) \[\frac{x}{2}\]
d) \[\frac{x}{4}\]

Answer: d
Explanation:
q169

10.A block is placed on a frictionless horizontal table. The mass of the block is m and springs are attached on either side with force constants \[k_{1}\] and \[k_{2}\] . If the block is displaced a little and left to oscillate, then the angular frequency of oscillation will be
a) \[\left(\frac{k_{1}+k_{2}}{m}\right)^{1/2}\]
b) \[\left(\frac{k_{1}k_{2}}{m\left(k_{1}+k_{2}\right)}\right)^{1/2}\]
c) \[\left(\frac{k_{1}k_{2}}{\left(k_{1}-k_{2}\right)m}\right)^{1/2}\]
d) \[\left(\frac{k_1^2+k_2^2}{\left(k_{1}+k_{2}\right)m}\right)^{1/2}\]

Answer: a
Explanation:
q170