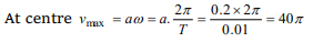
1. A simple harmonic oscillator has a period of 0.01
sec and an amplitude of 0.2 m. The magnitude of
the velocity in \[m sec ^{-1}\] at the centre of oscillation
is
a) \[20 \pi\]
b) 100
c) \[40 \pi\]
d) \[100 \pi\]
Explanation:
2. A particle executes S.H.M. with a period of 6
second and amplitude of 3 cm. Its maximum speed
in cm/sec is
a) \[ \pi/ 2\]
b) \[ \pi\]
c) \[2 \pi\]
d) \[3 \pi\]
Explanation:
3.A particle is executing S.H.M. If its amplitude is 2
m and periodic time 2 seconds, then the maximum
velocity of the particle will be
a) \[ \pi\] m / s
b) \[\sqrt{2 \pi} \] m / s
c) \[2 \pi\] m / s
d) \[4 \pi\] m / s
Explanation:
4. A S.H.M. has amplitude ‘a’ and time period T. The
maximum velocity will be
a) \[\frac{4a}{T}\]
b) \[\frac{2a}{T}\]
c) \[2 \pi\sqrt{\frac{ a}{T}}\]
d) \[\frac{2 \pi a}{T}\]
Explanation:
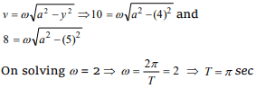
5. A body is executing S.H.M. When its displacement
from the mean position is 4 cm and 5 cm, the
corresponding velocity of the body is 10 cm/sec
and 8 cm/sec. Then the time period of the body is
a) \[2 \pi \] sec
b) \[ \pi/2\] sec
c) \[ \pi\] sec
d) \[3 \pi/ 2\] sec
Explanation:
6. A particle has simple harmonic motion. The
equation of its motion is \[x=5\sin\left(4t-\frac{\pi}{6}\right)\]
, where x
is its displacement. If the displacement of the
particle is 3 units, then it velocity is
a) \[\frac{2\pi}{3}\]
b) \[\frac{5\pi}{6}\]
c) 20
d) 16
Explanation:
7. If a simple pendulum oscillates with an amplitude
of 50 mm and time period of 2 sec, then its
maximum velocity is
a) 0.10 m / s
b) 0.15 m / s
c) 0.8 m / s
d) 0.26 m / s
Explanation:
8. If the displacement of a particle executing SHM is
given by \[y = 0.30 sin\left(220 t + 0.64\right)\]
in metre, then the
frequency and maximum velocity of the particle is
a) 35 Hz, 66 m / s
b) 45 Hz, 66 m / s
c) 58 Hz, 113 m / s
d) 35 Hz, 132 m / s
Explanation:
9. The maximum velocity and the maximum
acceleration of a body moving in a simple
harmonic oscillator are 2m/s and 4 m/s2 . Then
angular velocity will be
a) 3 rad/sec
b) 0.5 rad/sec
c) 1 rad/sec
d) 2 rad/sec
Explanation:
10. If a particle under S.H.M. has time period 0.1 sec
and amplitude \[2\times 10^{-3}m\] . It has maximum velocity
a) \[\frac{\pi}{25}m/s\]
b) \[\frac{\pi}{26}m/s\]
c) \[\frac{\pi}{30}m/s\]
d) None of these
Explanation: