Oscillations Questions and Answers Part-3

1.A particle executing simple harmonic motion has an amplitude of 6 cm. Its acceleration at a distance of 2 cm from the mean position is \[8 cm/s^{2}\]   . The maximum speed of the particle is
a) 8 cm/s
b) 12 cm/s
c) 16 cm/s
d) 24 cm/s

Answer: b
Explanation:
q21

2. Two particles P and Q start from origin and execute Simple Harmonic Motion along X-axis with same amplitude but with periods 3 seconds and 6 seconds respectively. The ratio of the velocities of P and Q when they meet is
a) 1 : 2
b) 2 : 1
c) 2 : 3
d) 3 : 2

Answer: b
Explanation:
q22

3.A particle is performing simple harmonic motion with amplitude A and angular velocity \[\omega\]. The ratio of maximum velocity to maximum acceleration is
a) \[\omega\]
b) \[1/\omega\]
c) \[\omega^{2}\]
d) \[A\omega\]

Answer: b
Explanation:
q23

4. The angular velocities of three bodies in simple harmonic motion are \[\omega_{1},\omega_{2},\omega_{3}\]    with their respective amplitudes as \[A_{1},A_{2},A_{3}\]    . If all the three bodies have same mass and velocity, then
a) \[A_{1}\omega_{1}=A_{2}\omega_{2}=A_{3}\omega_{3}\]
b) \[A_{1}\omega_{1}^{2}=A_{2}\omega_{2}^{2}=A_{3}\omega_{3}^{2}\]
c) \[A_1^2\omega_{1}=A_2^2\omega_{2}=A_3^2\omega_{3}\]
d) \[A_1^2\omega_{1}^{2}=A_2^2\omega_{2}^{2}=A^2\]

Answer: a
Explanation:
q24

5. The velocity of a particle performing simple harmonic motion, when it passes through its mean position is
a) Infinity
b) Zero
c) Minimum
d) Maximum

Answer: d
Explanation:
q25

6. The velocity of a particle in simple harmonic motion at displacement y from mean position is
a) \[\omega\sqrt{a^{2}+y^{2}}\]
b) \[\omega\sqrt{a^{2}-y^{2}}\]
c) \[\omega y\]
d) \[\omega^{2}\sqrt{a^{2}-y^{2}}\]

Answer: b
Explanation: \[\omega\sqrt{a^{2}-y^{2}}\]

7. A particle is executing the motion \[x=A \cos\left(\omega t - \theta\right)\]    . The maximum velocity of the particle is
a) \[A \omega \cos\theta\]
b) \[A \omega \]
c) \[A \omega \sin\theta\]
d) None of these

Answer: b
Explanation: \[A \omega \]

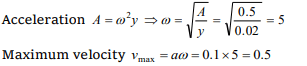
8. A particle executing simple harmonic motion with amplitude of 0.1 m. At a certain instant when its displacement is 0.02 m, its acceleration is 0.5 \[m/s^{2}\] . The maximum velocity of the particle is (in m/s)
a) 0.01
b) 0.05
c) 0.5
d) 0.25

Answer: c
Explanation:
q28

9. The amplitude of a particle executing SHM is 4 cm. At the mean position the speed of the particle is 16 cm/sec. The distance of the particle from the mean position at which the speed of the particle becomes \[8\sqrt{3}\]   cm /s ,will be
a) \[2\sqrt{3}cm \]
b) \[\sqrt{3}cm \]
c) 1cm
d) 2 cm

Answer: d
Explanation:
q29

10. The maximum velocity of a simple harmonic motion represented by \[y=3\sin\left(100t+\frac{\pi}{6}\right)\]     is given by
a) 300
b) \[\frac{3\pi}{6}\]
c) 100
d) \[\frac{\pi}{6}\]

Answer: a
Explanation:
q30