Oscillations Questions and Answers Part-14

1. In a seconds pendulum, mass of bob is 30 gm. If it is replaced by 90 gm mass. Then its time period will
a) 1 sec
b) 2 sec
c) 4 sec
d) 3 sec

Answer: b
Explanation: Time period is independent of mass of bob of pendulum.

2. The time period of a simple pendulum when it is made to oscillate on the surface of moon
a) Increases
b) Decreases
c) Remains unchanged
d) Becomes infinite

Answer: a
Explanation:
q132
q132a

3.A simple pendulum is attached to the roof of a lift. If time period of oscillation, when the lift is stationary is T. Then frequency of oscillation, when the lift falls freely, will be
a) Zero
b) T
c) 1/ T
d) None of these

Answer: a
Explanation: When lift falls freely effective acceleration and frequency of oscillations be zero

4. A simple pendulum, suspended from the ceiling of a stationary van, has time period T. If the van starts moving with a uniform velocity the period of the pendulum will be
a) Less than T
b) Equal to 2T
c) Greater than T
d) Unchanged

Answer: d
Explanation: Effective value of ‘g’ remains unchanged.

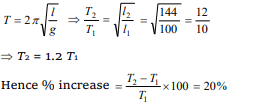
5. If the length of the simple pendulum is increased by 44%, then what is the change in time period of pendulum
a) 22%
b) 20%
c) 33%
d) 44%

Answer: b
Explanation:
q135

6. To show that a simple pendulum executes simple harmonic motion, it is necessary to assume that
a) Length of the pendulum is small
b) Mass of the pendulum is small
c) Amplitude of oscillation is small
d) Acceleration due to gravity is small

Answer: c
Explanation: If amplitude is large motion will not remain simple harmonic.

7.The height of a swing changes during its motion from 0.1 m to 2.5 m. The minimum velocity of a boy who swings in this swing is
a) 5.4 m / s
b) 4.95 m / s
c) 3.14 m / s
d) Zero

Answer: d
Explanation: Minimum velocity is zero at the extreme positions.

8. The amplitude of an oscillating simple pendulum is 10cm and its period is 4 sec. Its speed after 1 sec after it passes its equilibrium position, is
a) Zero
b) 0.57 m/s
c) 0.212 m/s
d) 0.32 m/s

Answer: a
Explanation:
q138

9. A simple pendulum hangs from the ceiling of a car. If the car accelerates with a uniform acceleration, the frequency of the simple pendulum will
a) Increase
b) Decrease
c) Become infinite
d) Remain constant

Answer: a
Explanation:
q139

10. The periodic time of a simple pendulum of length 1 m and amplitude 2 cm is 5 seconds. If the amplitude is made 4 cm, its periodic time in seconds will be
a) 2.5
b) 5
c) 10
d) \[5\sqrt{2}\]

Answer: b
Explanation: As periodic time is independent of amplitude.