Electrostatic Potential and Capacitance Questions and Answers Part-7

1. The capacitance of a metallic sphere will be 1 \[\mu F\]   , if its radius is nearly
a) 9 km
b) 10 m
c) 1.11 m
d) 1.11 cm

Answer: a
Explanation:
q61

2. A parallel plate capacitor of plate area A and plate separation d is charged to potential V and then the battery is disconnected. A slab of dielectric constant k is then inserted between the plates of the capacitors so as to fill the space between the plates. If Q, E and W denote respectively, the magnitude of charge on each plate, the electric field between the plates (after the slab is inserted) and work done on the system in question in the process of inserting the slab, then state incorrect relation from the following
a) \[Q=\frac{\epsilon_{0}AV}{d}\]
b) \[W=\frac{\epsilon_{0}AV^{2}}{2kd}\]
c) \[E=\frac{V}{kd}\]
d) \[W=\frac{\epsilon_{0}AV^{2}}{2d}\left(1-\frac{1}{k}\right)\]

Answer: b
Explanation:
q62

3.The capacitance of a parallel plate condenser does not depend on
a) Area of the plates
b) Medium between the plates
c) Distance between the plates
d) Metal of the plates

Answer: d
Explanation: Metal of the plates

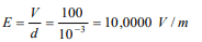
4. Between the plates of a parallel plate condenser there is 1mm thick paper of dielectric constant 4. It is charged at 100 volt. The electric field in volt / metre between the plates of the capacitor is
a) 100
b) 100000
c) 25000
d) 4000000

Answer: b
Explanation:
q64

5. The electric field between the two spheres of a charged spherical condenser
a) Is zero
b) Is constant
c) Increases with distance from the centre
d) Decreases with distance from the centre

Answer: d
Explanation:
q65

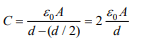
6.The distance between the plates of a parallel plate capacitor is d . A metal plate of thickness d / 2 is placed between the plates. The capacitance would then be
a) Unchanged
b) Halved
c) zero
d) Doubled

Answer: d
Explanation:
q66

7. An uncharged capacitor is connected to a battery. On charging the capacitor
a) All the energy supplied is stored in the capacitor
b) Half the energy supplied is stored in the capacitor
c) The energy stored depends upon the capacity of the capacitor only
d) The energy stored depends upon the time for which the capacitor is charged

Answer: b
Explanation: In charging of capacitor half of the supplied energy is stored in the capacitor.

8. A capacitor is kept connected to the battery and a dielectric slab is inserted between the plates. During this process
a) No work is done
b) Work is done at the cost of the energy already stored in the capacitor before the slab is inserted
c) Work is done at the cost of the battery
d) Work is done at the cost of both the capacitor and the battery

Answer: c
Explanation: In this process capacity increases, so battery supplies additional charge to capacitor.

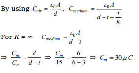
9. The capacitance of an air capacitor is \[15\mu F\]   the separation between the parallel plates is 6 mm . A copper plate of 3 mm thickness is introduced symmetrically between the plates. The capacitance now becomes
a) 5 \[\mu F\]
b) 7.5 \[\mu F\]
c) 22.5 \[\mu F\]
d) 30 \[\mu F\]

Answer: d
Explanation:
q69

10. An air capacitor is connected to a battery. The effect of filling the space between the plates with a dielectric is to increase
a) The charge and the potential difference
b) The potential difference and the electric field
c) The electric field and the capacitance
d) The charge and the capacitance

Answer: d
Explanation:
q70