Electrostatic Potential and Capacitance Questions and Answers Part-12

1. In a capacitor of capacitance 20 \[\mu F\]   , the distance between the plates is 2mm. If a dielectric slab of width 1mm and dielectric constant 2 is inserted between the plates, then the new capacitance is
a) 2 \[\mu F\]
b) 15.5 \[\mu F\]
c) 26.6 \[\mu F\]
d) 32 \[\mu F\]

Answer: c
Explanation:
q111

2. A metallic sheet is inserted between the plates of a parallel plate capacitor. The capacitance of the capacitor
a) Increases
b) Is independent of the position of the sheet
c) Is maximum when the metal sheet in the middle
d) Both a and b

Answer: d
Explanation: Both a and b

3.The capacity of a parallel plate capacitor with no dielectric substance but with a separation of 0.4 cm is \[2 \mu F\]  . The separation is reduced to half and it is filled with a dielectric substance of value 2.8. The final capacity of the capacitor is
a) 11.2 \[\mu F\]
b) 15.6 \[\mu F\]
c) 19.2 \[\mu F\]
d) 22.4 \[\mu F\]

Answer: a
Explanation:
q113

4. Two insulated metallic spheres of \[3\mu F\]  and \[5\mu F\]  capacitances are charged to 300 V and 500V respectively. The energy loss, when they are connected by a wire is
a) 0.012 J
b) 0.0218 J
c) 0.0375 J
d) 3.75 J

Answer: c
Explanation:
q114

5. Two conducting spheres of radii 5 cm and 10 cm are given a charge of \[15 \mu C\]   each. After the two spheres are joined by a conducting wire, the charge on the smaller sphere is
a) 5 \[\mu C\]
b) 10 \[\mu C\]
c) 15 \[\mu C\]
d) 20 \[\mu C\]

Answer: b
Explanation: Charge on smaller sphere
q115

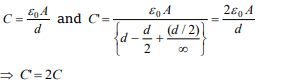
6.In a parallel plate capacitor of capacitance C, a metal sheet is inserted between the plates, parallel to them. If the thickness of the sheet is half of the separation between the plates. The capacitance will be
a) \[\frac{C}{2}\]
b) \[\frac{3C}{4}\]
c) 2C
d) 4C

Answer: d
Explanation:
q116

7.While a capacitor remains connected to a battery and dielectric slab is applied between the plates, then
a) Potential difference between the plates is changed
b) Charge flows from the battery to the capacitor
c) Electric field between the plates increases
d) Energy store in the capacitor decreases

Answer: b
Explanation: By inserting the dielectric slab. Capacitance (i.e. ability to hold the charge) increases. In the presence of battery more charge is supplied from battery.

8. A body of capacity \[4 \mu F\]  is charged to 80 V and another body of capacity \[6 \mu F\]  is charged to 30V. When they are connected the energy lost by \[4 \mu F\]  capacitor is
a) 7.8 mJ
b) 4.6 mJ
c) 3.2 mJ
d) 2.5 mJ

Answer: a
Explanation:
q118

9. The capacity of the conductor does not depend upon
a) Charge
b) Voltage
c) Nature of the material
d) All of these

Answer: d
Explanation: All of these

10. A solid conducting sphere of radius R1 is surrounded by another concentric hollow conducting sphere of radius R2. The capacitance of this assembly is proportional to
a) \[\frac{R_{2}-R_{1}}{R_{1}R_{2}}\]
b) \[\frac{R_{2}+R_{1}}{R_{1}R_{2}}\]
c) \[\frac{R_{1}R_{2}}{R_{1}+R_{2}}\]
d) \[\frac{R_{1}R_{2}}{R_{2}-R_{1}}\]

Answer: d
Explanation:
q120