Electrostatic Potential and Capacitance Questions and Answers Part-13

1. Two spherical conductors A and B of radius a and b (b > a) are placed in air concentrically B is given charge + Q coulomb and A is grounded. The equivalent capacitance of these is
a) \[4\pi\epsilon_{0}\frac{ab}{b-a}\]
b) \[4\pi\epsilon_{0}\left(a+b\right)\]
c) \[4\pi\epsilon_{0}b\]
d) \[4\pi\epsilon_{0}\frac{b^{2}}{b-a}\]

Answer: d
Explanation: \[4\pi\epsilon_{0}\frac{b^{2}}{b-a}\]

2.The capacity of a parallel plate condenser is 10 \[\mu F\]  , when the distance between its plates is 8 cm. If the distance between the plates is reduced to 4 cm, then the capacity of this parallel plate condenser will be
a) 5 \[\mu F\]
b) 10 \[\mu F\]
c) 20 \[\mu F\]
d) 40 \[\mu F\]

Answer: c
Explanation:
q122

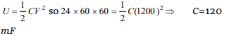
3.A capacitor is used to store 24 watt hour of energy at 1200 volt. What should be the capacitance of the capacitor
a) 120 mF
b) \[120\mu F\]
c) \[24\mu F\]
d) 20 mF

Answer: a
Explanation:
q123

4. The mean electric energy density between the plates of a charged capacitor is (here q = charge on the capacitor and A = area of the capacitor plate)
a) \[\frac{q^{2}}{2\epsilon_{0}A^{2}}\]
b) \[\frac{q}{2\epsilon_{0}A^{2}}\]
c) \[\frac{q^{2}}{2\epsilon_{0}A}\]
d) None of the above

Answer: a
Explanation:
q124

5. A charge of \[40\mu C\]   is given to a capacitor having capacitance \[C=10\mu F\]   . The stored energy in ergs is
a) \[80\times10^{-6}\]
b) 800
c) 80
d) 8000

Answer: b
Explanation:
q125

6.Work done by an external agent in separating the parallel plate capacitor is
a) CV
b) \[\frac{1}{2}C^{2}V\]
c) \[\frac{1}{2}CV^{2}\]
d) None of these

Answer: c
Explanation: \[\frac{1}{2}CV^{2}\]

7. A parallel plate capacitor has an electric field of \[10^{5}V/M\]   between the plates. If the charge on the capacitor plate is \[1\mu C\]   , the force on each capacitor plate is
a) 0.5 N
b) 0.05 N
c) 0.005 N
d) None of these

Answer: b
Explanation:
q127

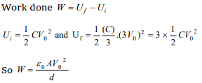
8. A parallel plate capacitor has plate area A and separation d. It is charged to a potential difference \[V_{0}\] . The charging battery is disconnected and the plates are pulled apart to three times the initial separation. The work required to separate the plates is
a) \[\frac{3\epsilon_{0}AV_0^2}{d}\]
b) \[\frac{\epsilon_{0}AV_0^2}{2d}\]
c) \[\frac{\epsilon_{0}AV_0^2}{3d}\]
d) \[\frac{\epsilon_{0}AV_0^2}{d}\]

Answer: d
Explanation:
q128

9. The electric field between the plates of a parallel plate capacitor when connected to a certain battery is E0 . If the space between the plates of the capacitor is filled by introducing a material of dielectric constant K without disturbing the battery connections, the field between the plates shall be
a) \[KE_{0}\]
b) \[E_{0}\]
c) \[\frac{E_{0}}{K}\]
d) None of the above

Answer: b
Explanation:
q129

10.If the distance between parallel plates of a capacitor is halved and dielectric constant is doubled then the capacitance
a) Decreases two times
b) Increases two times
c) Increases four times
d) Remain the same

Answer: c
Explanation:
q130