Electrostatic Potential and Capacitance Questions and Answers Part-15

1. A capacitor of capacitance \[6\mu F\]  is charged upto 100 volt. The energy stored in the capacitor is
a) 0.6 Joule
b) 0.06 Joule
c) 0.03 Joule
d) 0.3 Joule

Answer: c
Explanation:
q141

2. A parallel plate air capacitor is charged and then isolated. When a dielectric material is inserted between the plates of the capacitor, then which of the following does not change
a) Electric field between the plates
b)Potential difference across the plates
c) Charge on the plates
d) Energy stored in the capacitor

Answer: c
Explanation: Because there is no source of charge.

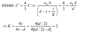
3.Capacitance of a parallel plate capacitor becomes 4/3 times its original value if a dielectric slab of thickness t = d/2 is inserted between the plates (d is the separation between the plates). The dielectric constant of the slab is
a) 8
b) 4
c) 6
d) 2

Answer: d
Explanation:
q143
q143a

4. A 10 micro-farad capacitor is charged to 500 V and then its plates are joined together through a resistance of 10 ohm. The heat produced in the resistance is
a) 500 J
b) 250 J
c) 125 J
d) 1.25 J

Answer: d
Explanation:
q144

5. The unit of electric permittivity is
a) \[Volt/m^{2}\]
b) Joule/coulomb
c) Farad/m
d) Henry/m

Answer: c
Explanation:
q145

6.The work done in placing a charge of \[8\times 10^{-18}\]   coulomb on a condenser of capacity 100 micro-farad is
a) \[32\times 10^{-32}Joule\]
b) \[16\times 10^{-32}Joule\]
c) \[3.1\times 10^{-26}Joule\]
d) \[4\times 10^{-10}Joule\]

Answer: a
Explanation:
q146

7. 64 drops of mercury each charged to a potential of 10 V . They are combined to form one bigger drop. The potential of this drop will be (Assume all the drops to be spherical)
a) 160 V
b) 80 V
c) 10 V
d) 640 V

Answer: a
Explanation:
q147

8. A spherical drop of mercury having a potential of 2.5 V is obtained as a result of merging 125 droplets. The potential of constituent droplets would be
a) 1.0 V
b) 0.5 V
c) 0.2 V
d) 0.1 V

Answer: d
Explanation:
q148

9.A parallel plate capacitor of capacity \[C_{0}\] is charged to a potential \[V_{0}\]
(i) The energy stored in the capacitor when the battery is disconnected and the separation is doubled \[E_{1}\]
(ii) The energy stored in the capacitor when the charging battery is kept connected and the separation between the capacitor plates is doubled is \[E_{2}\] . Then \[E_{1}/E_{2}\]   value is
a) 4
b) 3/2
c) 2
d) 1/2

Answer: a
Explanation:
q149

10. A parallel plate capacitor carries a charge q . The distance between the plates is doubled by application of a force. The work done by the force is
a) Zero
b) \[\frac{q^{2}}{C}\]
c) \[\frac{q^{2}}{2C}\]
d) \[\frac{q^{2}}{4C}\]

Answer: c
Explanation:
q150