Current Electricity Questions and Answers Part-7

1. \[20\mu A\]  current flows for 30 seconds in a wire, transfer of charge will be
a) \[2\times 10^{-4}C\]
b) \[4\times 10^{-4}C\]
c) \[6\times 10^{-4}C\]
d) \[8\times 10^{-4}C\]

Answer: c
Explanation:
q61

2. \[\sigma_{1}\]  and \[\sigma_{2}\] are the electrical conductivities of Ge and Na respectively. If these substances are heated, then
a) Both \[\sigma_{1}\] and \[\sigma_{2}\] increase
b) \[\sigma_{1}\] increases and \[\sigma_{2}\] decreases
c) \[\sigma_{1}\] decreases and \[\sigma_{2}\] increases
d) Both \[\sigma_{1}\]  and \[\sigma_{2}\] decrease

Answer: b
Explanation: Ge is semiconductor and Na is a metal. The conductivity of semiconductor increases and that of the metals decreases with the rise in temperature.

3. 1.6 mA current is flowing in conducting wire then the number of electrons flowing per second is
a) \[ 10^{11}\]
b) \[ 10^{16}\]
c) \[ 10^{19}\]
d) \[ 10^{15}\]

Answer: b
Explanation:
q63

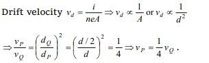
4. A current I is passing through a wire having two sections P and Q of uniform diameters d and d/2 respectively. If the mean drift velocity of electrons in sections P and Q is denoted by vP and vQ respectively, then
a) \[V_{P}=V_{Q}\]
b) \[V_{P}=\frac{1}{2}V_{Q}\]
c) \[V_{P}=\frac{1}{4}V_{Q}\]
d) \[V_{P}= 2V_{Q}\]

Answer: c
Explanation:
q64

5. The resistance of a coil is 4.2 Ω at \[100^{\circ}C\]   and the temperature coefficient of resistance of its material is \[0.004/^{\circ}C\]   . Its resistance at \[0^{\circ}C\]   is
a) 6.5Ω
b) 5Ω
c) 3 Ω
d) 4 Ω

Answer: c
Explanation:
q65

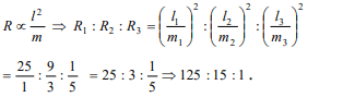
6.Masses of three wires of copper are in the ratio of 1 : 3 : 5 and their lengths are in the ratio of 5 : 3 : 1. The ratio of their electrical resistances are
a) 1 : 3 : 5
b) 5 : 3 : 1
c) 1 : 15 : 125
d) 125 : 15 : 1

Answer: d
Explanation:
q66

7. Conductivity increases in the order of
a) Al, Ag, Cu
b) Al, Cu, Ag
c) Cu, Al, Ag
d)Ag, Cu, Al

Answer: b
Explanation: Al, Cu, Ag

8. The resistance of a conductor is 5 ohm at \[50^{\circ}C\]   and 6 ohm at \[100^{\circ}C\]   . Its resistance at \[0^{\circ}C\]   is
a) 1 ohm
b) 2 ohm
c) 3 ohm
d) 4 ohm

Answer: d
Explanation:
q68

9.If an electron revolves in the path of a circle of radius of \[0.5\times 10^{-10}m\]    at frequency of \[5\times 10^{15}\]    cycles/s the electric current in the circle is (Charge of an electron = \[1.6\times 10^{-19}C\]    )
a) 0.4 mA
b) 0.8 mA
c) 1.2 mA
d) 1.6 mA

Answer: b
Explanation:
q69

10.Equal potentials are applied on an iron and copper wire of same length. In order to have the same current flow in the two wires, the ratio r (iron)/r (copper) of their radii must be (Given that specific resistance of iron = \[1.0\times 10^{-7}ohm-m\]     and specific resistance of copper = \[1.7\times 10^{-8}ohm-m\]     )
a) About 1.2
b) About 2.4
c) About 3.6
d) About 4.8

Answer: b
Explanation:
q70