Current Electricity Questions and Answers Part-5

1. Resistance of tungsten wire at \[150^{\circ} C\]   is 133Ω . Its resistance temperature coefficient is \[0.0045/^{\circ} C\]   . The resistance of this wire at \[500^{\circ} C\]   will be
a) 180 Ω
b) 225 Ω
c) 258 Ω
d) 317 Ω

Answer: c
Explanation:
q41

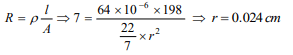
2. A metal wire of specific resistance \[64\times10^{-6}ohm -cm\]      and length 198 cm has a resistance of 7 ohm, the radius of the wire will be
a) 2.4 cm
b) 0.24 cm
c) 0.024 cm
d) 24 cm

Answer: c
Explanation:
q42

3.A copper wire of length 1 m and radius 1 mm is joined in series with an iron wire of length 2 m and radius 3 mm and a current is passed through the wires. The ratio of the current density in the copper and iron wires is
a) 18 : 1
b) 9 : 1
c) 6 : 1
d) 2 : 3

Answer: b
Explanation:
q43

4. The resistance of a wire is R. If the length of the wire is doubled by stretching, then the new resistance will be
a) 2R
b) 4R
c) R
d) \[\frac{R}{4}\]

Answer: b
Explanation:
q44

5. Which of the following has a negative temperature coefficient
a) C
b) Fe
c) Mn
d) Ag

Answer: a
Explanation: Temperature coefficient of a semiconductor is negative

6.The reciprocal of resistance is
a) Conductance
b) Resistivity
c) Voltage
d) None of the above

Answer: a
Explanation: The reciprocal of resistance is called conductance

7. A solenoid is at potential difference 60 V and current flows through it is 15 ampere, then the resistance of coil will be
a) 4 Ω
b) 8 Ω
c) 0.25 Ω
d) 2 Ω

Answer: a
Explanation:
q47

8. All of the following statements are true except
a) Conductance is the reciprocal of resistance and is measured in Siemens
b) Ohm's law is not applicable at very low and very high temperatures
c) Ohm's law is applicable to semiconductors
d) Ohm's law is not applicable to electron tubes, discharge tubes and electrolytes

Answer: c
Explanation: Ohm’s Law is not obeyed by semiconductors.

9.A potential difference of V is applied at the ends of a copper wire of length l and diameter d. On doubling only d, drift velocity
a) Becomes two times
b) Becomes half
c) Does not change
d) Becomes one fourth

Answer: c
Explanation:
q49

10. If the resistance of a conductor is 5Ω at \[50^{\circ}C\]   and 7Ω at \[100^{\circ}C\]   then the mean temperature coefficient of resistance of the material is
a) \[0.008/^{\circ}C\]
b) \[0.006/^{\circ}C\]
c) \[0.004/^{\circ}C\]
d) \[0.001/^{\circ}C\]

Answer: a
Explanation:
q50