Current Electricity Questions and Answers Part-12

1. The following four wires are made of the same material and are at the same temperature. Which one of them has highest electrical resistance
a) Length = 50 cm, diameter = 0.5 mm
b) Length = 100 cm, diameter = 1 mm
c) Length = 200 cm, diameter = 2 mm
d) Length = 300 cm, diameter = 3 mm

Answer: a
Explanation:
q111

2.The colour sequence in a carbon resistor is red, brown, orange and silver. The resistance of the resistor is
a) \[21\times 10^{3}\pm 10 \]   %
b) \[23\times 10^{1}\pm 10\]
c) \[21\times 10^{3}\pm 5 \]   %
d) \[12\times 10^{3}\pm 5 \]   %

Answer: a
Explanation: Red, brown, orange, silver red and brown represents the first two significant figures.
q112

3.A thick wire is stretched so that its length become two times. Assuming that there is no change in its density, then what is the ratio of change in resistance of wire to the initial resistance of wire
a) 2 : 1
b) 4 : 1
c) 3 : 1
d) 1 : 4

Answer: c
Explanation:
q113

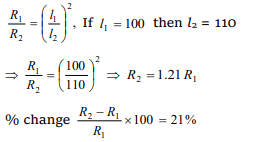
4. The length of the resistance wire is increased by 10%. What is the corresponding change in the resistance of wire
a) 10%
b) 25%
c) 21%
d) 9%

Answer: c
Explanation:
q114

5. The electric field E, current density J and conductivity \[\sigma\] of a conductor are related as
a) \[\sigma=E/j\]
b) \[\sigma=j/E\]
c) \[\sigma=jE\]
d) \[\sigma=1/jE\]

Answer: b
Explanation: \[\sigma=j/E\]

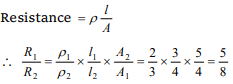
6.Two wires that are made up of two different materials whose specific resistance are in the ratio 2 : 3, length 3 : 4 and area 4 : 5. The ratio of their resistances is
a) 6 : 5
b) 6 : 8
c) 5 : 8
d) 1 : 2

Answer: c
Explanation:
q116

7. Two resistors of resistance \[R_{1}\] and \[R_{2} \] having \[R_{1} > R_{2} \]   are connected in parallel. For equivalent resistance R , the correct statement is
a) \[R > R_{1} + R_{2} \]
b) \[R_{1} < R< R_{2} \]
c) \[R_{2} < R < \left(R_{1}+ R_{2} \right)\]
d) \[R < R_{1} \]

Answer: d
Explanation: Equivalent resistance of parallel resistors is always less than any of the member of the resistance system.

8. A wire of resistance R is divided in 10 equal parts. These parts are connected in parallel, the equivalent resistance of such connection will be
a) 0.01 R
b) 0.1 R
c) 10 R
d) 100 R

Answer: a
Explanation: Each part will have a resistance r = R /10
q118

9. There are 8 equal resistances R. Two are connected in parallel, such four groups are connected in series, the total resistance of the system will be
a) R / 2
b) 2 R
c) 4 R
d) 8 R

Answer: b
Explanation:
q119

10.Three resistances of one ohm each are connected in parallel. Such connection is again connected with 2/3 Ω resistor in series. The resultant resistance will be
a) \[\frac{5}{3}\] Ω
b) \[\frac{3}{2}\] Ω
c) 1 Ω
d) \[\frac{2}{3}\] Ω

Answer: c
Explanation:
q120