Current Electricity Questions and Answers Part-2

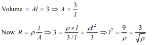
1. The specific resistance of a wire is \[\rho\] , its volume is \[3 m^{3}\] and its resistance is 3 ohms, then its length will be
a) \[\sqrt{\frac{1}{\rho}}\]
b) \[\frac{3}{\sqrt{\rho}}\]
c) \[\frac{1}{\rho}\sqrt{3}\]
d) \[\rho\sqrt{\frac{1}{3}}\]

Answer: b
Explanation:
q11

2. \[62.5\times 10^{18}\]   electrons per second are flowing through a wire of area of cross-section 0.1 m2 , the value of current flowing will be
a) 1 A
b) 0.1 A
c) 10 A
d) 0.11 A

Answer: c
Explanation:
q12

3. A piece of wire of resistance 4 ohms is bent through \[180^{\circ}\] at its mid point and the two halves are twisted together, then the resistance is
a) 8 ohms
b) 1 ohms
c) 2 ohms
d) 5 ohms

Answer: b
Explanation:
q13

4. When a piece of aluminium wire of finite length is drawn through a series of dies to reduce its diameter to half its original value, its resistance will become
a) Two times
b) Four times
c) Eight times
d) Sixteen times

Answer: d
Explanation:
q14

5. A wire 100cm long and 2.0mm diameter has a resistance of 0.7 ohm, the electrical resistivity of the material is
a) \[4.4\times 10^{-6}ohm\times m\]
b) \[2.2\times 10^{-6}ohm\times m\]
c) \[1.1\times 10^{-6}ohm\times m\]
d) \[0.22\times 10^{-6}ohm\times m\]

Answer: b
Explanation:
q15

6.A wire of length 5 m and radius 1 mm has a resistance of 1 ohm. What length of the wire of the same material at the same temperature and of radius 2mm will also have a resistance of 1 ohm
a) 1.25 m
b) 2.5 m
c) 10 m
d) 20 m

Answer: d
Explanation:
q16
q16a

7. When there is an electric current through a conducting wire along its length, then an electric field must exist
a) Outside the wire but normal to it
b) Outside the wire but parallel to it
c) Inside the wire but parallel to it
d) Inside the wire but normal to it

Answer: c
Explanation: Inside the wire but parallel to it

8. Through a semiconductor, an electric current is due to drift of
a) Free electrons
b) Free electrons and holes
c) Positive and negative ions
d) Protons

Answer: b
Explanation: In semiconductors charge carries are free electrons and holes

9. In an electrolyte \[3.2\times 10^{18}\]   bivalent positive ions drift to the right per second while \[3.6\times 10^{18}\]   monovalent negative ions drift to the left per second. Then the current is
a) 1.6 amp to the left
b) 1.6 amp to the right
c) 0.45 amp to the right
d) 0.45 amp to the left

Answer: b
Explanation:
q19

10. A metallic block has no potential difference applied across it, then the mean velocity of free electrons is T = absolute temperature of the block)
a) Proportional to T
b) Proportional to \[\sqrt{T}\]
c) Zero
d) Finite but independent of temperature

Answer: b
Explanation:
q20