Current Electricity Questions and Answers Part-1

1. The resistivity of iron is \[1\times10^{-7}ohm-m\]     . The resistance of a iron wire of particular length and thickness is 1 ohm. If the length and the diameter of wire both are doubled, then the resistivity in ohm-m will be
a) \[1\times10^{-7}\]
b) \[2\times10^{-7}\]
c) \[4\times10^{-7}\]
d) \[8\times10^{-7}\]

Answer: a
Explanation: Resistivity of some material is its intrinsic property and is constant at particular temperature. Resistivity does not depend upon shape.

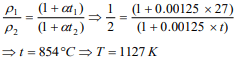
2.The temperature coefficient of resistance for a wire is \[0.00125/^{\circ}C\]    . At 300K its resistance is 1 ohm. The temperature at which the resistance becomes 2 ohm is
a) 1154 K
b) 1100 K
c) 1400 K
d) 1127 K

Answer: d
Explanation:
q2

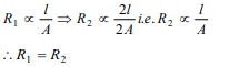
3.When the length and area of cross-section both are doubled, then its resistance
a) Will become half
b) Will be doubled
c) Will remain the same
d) Will become four times

Answer: c
Explanation:
q3

4. The resistance of a wire is 20 ohms. It is so stretched that the length becomes three times, then the new resistance of the wire will be
a) 6.67 ohms
b) 60.0 ohms
c) 120 ohms
d) 180.0 ohms

Answer: d
Explanation:
q4

5. The resistivity of a wire
a)Increases with the length of the wire
b) Decreases with the area of cross-section
c) Decreases with the length and increases with the cross-section of wire
d) None of the above statement is correct

Answer: d
Explanation: Resistivity is the property of the material. It does not depend upon size and shape.

6.Ohm's law is true
a) For metallic conductors at low temperature
b) For metallic conductors at high temperature
c) For electrolytes when current passes through them
d) For diode when current flows

Answer: a
Explanation: Because with rise in temperature resistance of conductor increase, so graph between V and i becomes non linear.

7.The example for non-ohmic resistance is
a) Copper wire
b) Carbon resistance
c) Diode
d) Tungston wire

Answer: c
Explanation: Because V-i graph of diode is non-linear.

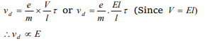
8. Drift velocity \[V_{d}\] varies with the intensity of electric field as per the relation
a) \[V_{d}\propto E\]
b) \[V_{d}\propto \frac{1}{E}\]
c) \[V_{d}= constant\]
d) \[V_{d}\propto E^{2}\]

Answer: a
Explanation:
q8

9. On increasing the temperature of a conductor, its resistance increases because
a) Relaxation time decreases
b) Mass of the electrons increases
c) Electron density decreases
d) None of the above

Answer: a
Explanation:
q9

10. In a conductor 4 coulombs of charge flows for 2 seconds. The value of electric current will be
a) 4 volts
b) 4 amperes
c) 2 amperes
d) 2 volts

Answer: c
Explanation:
q10