1. If a, b are nonzero vectors and a
is perpendicular to b then 'a' nonzero vector r satisfying r . \[a=\alpha\] , for some scalar \[\alpha\] , a \[\times\] r = b is
a) \[\frac{\alpha a+\left(a+b\right)}{\mid a\mid^{2}}\]
b) \[\frac{\alpha a+\left(a \times b\right)}{\mid b\mid^{2}}\]
c) \[\frac{\alpha a-\left(a \times b\right)}{\mid a\mid^{2}}\]
d) \[\frac{\alpha a-\left(a \times b\right)}{\mid b\mid^{2}}\]
Explanation: Taking cross product with a on both the sides of a \[\times\] r = b, we get

2. The vectors a = i + j + mk, b = i + j
+ (m + 1)k and c = i – j + mk are coplanar if m is equal to
a) 1
b) 4
c) 3
d) none of these
Explanation: a, b, c are coplanar if

3. The position vector of a point P is r =
x i + yj + zk, where x, y, \[z\epsilon N\] and u = i + j + k.
If r . u = 10 then the possible positions of P are
a) 72
b) 36
c) 60
d) 10
Explanation: r \[\cdot\] u = 10 \[\Rightarrow\] x + y + z = 10. The number of positive integral solution of this equation is \[^{9}C_{2}\] = 36.
4. If a, b, c be three unit vectors such that \[a\times\left(b\times c\right)=\left(1/2\right)b\] ,b and c being non-parallel. If \[\theta_{1}\] is the
angle between a and c and \[\theta_{2}\] is the angle between a and
b then
a) \[\theta_{1}=\pi/3\]
b) \[\theta_{1}=\pi/2\]
c) \[\theta_{2}=\pi/3\]
d) \[\theta_{2}=\pi/6\]
Explanation: (1/2) b = a \[\times\] (b \[\times\] c) = (a \[\cdot\] c)b – (a \[\cdot\] b)c

5. The distance of the point B with position
vector i + 2j + 3k from the line passing through the point
A whose position vector is 4i + 2j + 2k and parallel to the
vector 2i + 3j + 6k is
a) \[\sqrt{10}\]
b) \[\sqrt{5}\]
c) \[\sqrt{6}\]
d) \[\sqrt{8}\]
Explanation: AB = – 3i + k. Since AB. (2i + 3j + 6k)

6. If a and b are vectors such that \[\mid a+b\mid=\sqrt{29}\] and \[a\times\left(2i+3j+4k\right)=\left(2i+3j+4k\right)\times b\]
then a
possible value of (a + b) . (–7i + 2j + 3k) is
a) 0
b) 3
c) 4
d) 8
Explanation: a \[\times\] (2i + 3j + 4k) = (2i + 3j + 4k) \[\times\] b

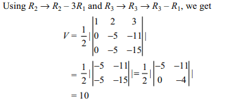
7. Let PR = 3i + j – 2k and SQ = i – 3j –
4k determine diagonals of a parallelogram PQRS and PT
= i + 2j + 3k be another vector. Then the volume of the
parallelepiped determined by the vectors PT, PQ and PS is
a) 5
b) 20
c) 10
d) 30
Explanation: Volume of the parallelepiped formed by



8. Suppose x, y, z > 0 and let
\[a=\left(x-y\cos\frac{\pi}{6}\right)i-\left(y\sin\frac{\pi}{6}\right)j\]
and \[b=\left(y-z\cos\frac{\pi}{3}\right)i-\left(z\sin\frac{\pi}{3}\right)j\]
then least value of | a | + | b | is
a) \[\sqrt{x^{2}+z^{2}}\]
b) \[\sqrt{y^{2}+z^{2}}\]
c) \[\sqrt{x^{2}+y^{2}}\]
d) \[\sqrt{x^{2}+y^{2}+z^{2}}\]
Explanation:



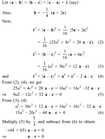
9. Suppose a, b, c are three non-zero vectors
such that
a + 4b + 2c = 0 and
| a – b| = |b – c | = | c – a | (1)
then
a) a . b = 0
b) b . c = 0
c) a . c = 0
d) a . (b + c) = – 6
Explanation:


10. Let \[a=\cos\alpha i+\sin\alpha j\]
\[b=\cos\beta i-\sin\beta j\]
\[c=\cos\gamma i+\sin\gamma j,d=\cos\delta i-\sin\delta j\]
If 2a + 6b + 7c – 9d = 0, then
a) \[3\cos\left(\alpha+\delta\right)=5\cos\left(\beta+\gamma\right)\]
b) \[3\cos\left(\alpha+\delta\right)=7\cos\left(\beta+\gamma\right)\]
c) \[\cos\left(\alpha+\delta\right)+\cos\left(\beta+\gamma\right)=0\]
d) \[\sin\left(\alpha+\delta\right)+\sin\left(\beta+\gamma\right)=0\]
Explanation:

