Solutions Questions and Answers Part-9

1. A 0.1 molal aqueous solution of a weak acid is 30% ionized. If \[K_{f}\] for water is 1.86°C/m, the freezing point of the solution will be :
a) – 0.18°C
b) – 0.54°C
c) – 0.36°C
d) – 0.24°C

Answer: d
Explanation:
q81

2. 200 mL of an aqueous solution of a protein contains its 1.26 g. The osmotic pressure of this solution at 300 K is found to be \[2.57 × 10^{-3}\]   bar. The molar mass of protein will be (R = 0.083 L bar \[mol^{-1} K^{-1})\]
a) 51022 g \[mol^{-1}\]
b) 122044 g \[mol^{-1}\]
c) 31011 g \[mol^{-1}\]
d) 61038 g \[mol^{-1}\]

Answer: d
Explanation:
q82

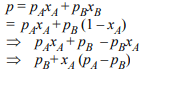
3. \[P_{A}\] and \[P_{B} \] are the vapour pressure of pure liquid components, A and B, respectively of an ideal binary solution. If \[X_{A} \] represents the mole fraction of component A, the total pressure of the solution will be.
a) \[P_{A} +X_{A}\left(P_{B}-P_{A}\right)\]
b) \[P_{A} +X_{A}\left(P_{A}-P_{B}\right)\]
c) \[P_{B} +X_{A}\left(P_{B}-P_{A}\right)\]
d) \[P_{B} +X_{A}\left(P_{A}-P_{B}\right)\]

Answer: d
Explanation:
q83

4. Freezing point of an aqueous solution is (–0.186)°C. Elevation of boiling point of the same solution is \[K_{b} = 0.512°C, K_{f}= 1.86°C,\]      find the increase in boiling point.
a) 0.186°C
b) 0.0512°C
c) 0.092°C
d) 0.2372°C

Answer: b
Explanation:
q84

5. In mixture A and B components show -ve deviation as
a) \[\triangle V_{mix} >0\]
b) \[\triangle H_{mix} <0\]
c) A – B interaction is weaker than A – A and B – B interaction
d) A – B interaction is stronger than A – A and B – B interaction

Answer: b
Explanation:
q85

6. A pressure cooker reduces cooking time for food because
a) boiling point of water involved in cooking is increased
b) the higher pressure inside the cooker crushes the food material
c) cooking involves chemical changes helped by a rise in temperature
d) heat is more evenly distributed in the cooking space

Answer: a
Explanation: On increasing pressure, the temperature is also increased. Thus in pressure cooker due to increase in pressure the b.p. of water increases

7. In a 0.2 molal aqueous solution of a weak acid HX the degree of ionization is 0.3. Taking kf for water as 1.85, the freezing point of the solution will be nearest to
a) – 0.360º C
b) – 0.260º C
c) + 0.480º C
d) – 0.480º C

Answer: d
Explanation:
q87

8. Which one of the following aqueous solutions will exihibit highest boiling point ?
a) 0.015 M urea
b) 0.01 M \[KNO_{3} \]
c) 0.01 M \[Na_{2}SO_{4} \]
d) 0.015 M glucose

Answer: c
Explanation:
q88

9. \[6.02 × 10^{20}\]   molecules of urea are present in 100 ml of its solution. The concentration of urea solution is
a) 0.02 M
b) 0.01 M
c) 0.001 M
d) 0.1 M

Answer: b
Explanation:
q89

10. To neutralise completely 20 mL of 0.1 M aqueous solution of phosphorous acid \[\left(H_{3}PO_{3} \right)\]   , the value of 0.1 M aqueous KOH solution required is
a) 40 mL
b) 20 mL
c) 10 mL
d) 60 mL

Answer: a
Explanation:
q90