1. A straight line touches the rectangular
hyperbola \[9x^{2}-9y^{2}=8\] and the parabola \[y^{2}=32x.\] An
equation of the line is
a) \[9x+3y-8=0\]
b) \[9x-3y+8=0\]
c) \[9x+3y+8=0\]
d) Both b and c
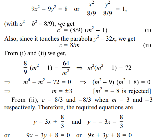
Explanation: Let the equation be y = mx + c. Since it touches the hyperbola

2. Locus of mid-point of chord of the hyperbola xy= 4
whose length is 4 units is
a) \[4xy = x^{2}-y^{2}\]
b) \[x^{2}+y^{2}=4xy\left(xy-2\right)\]
c) \[4xy=\left(x^{2}+y^{2}\right)\left(xy-4\right)\]
d) \[\left(x+y\right)^{2}4x^{2}y^{2}\]
Explanation:



3. If \[\left(12\tan\phi,5\sec\phi\right)\] lie on a hyperbola, then its
eccentricity is
a) \[\frac{15}{17}\]
b) \[\frac{12}{5}\]
c) \[\frac{13}{5}\]
d) \[\frac{17}{12}\]
Explanation:

4. Let \[P\left(3\sec\theta,2\tan\theta\right)\] and \[Q\left(3\sec\phi,2\tan\phi\right)\] where \[\theta+\phi =\frac{\pi}{2}\] be two distinct points on the hyperbola \[\frac{x^{2}}{9}-\frac{y^{2}}{4}=1.\] Then the ordinate of the point of intersection
of the normals at P and Q is
a) \[\frac{11}{3}\]
b) \[-\frac{11}{3}\]
c) \[\frac{13}{2}\]
d) \[-\frac{13}{2}\]
Explanation:

5. The tangent at an extremity (in the first quardant ) of latus rectum of the hyperbola \[\frac{x^{2}}{4}-\frac{y^{2}}{5}=1\] , meets x-axis and y-axis at A and B, respectively. Then (OA)2 – (OB)2, where O is origin, equals
a) \[-\frac{20}{9}\]
b) \[\frac{16}{9}\]
c) 4
d) \[-\frac{4}{3}\]
Explanation:

6. Suppose P is a variable point on the hyperbola \[\frac{x^{2}}{a^{2}}-\frac{y^{2}}{b^{2}}=1\] with eccentricity e. Let \[A\left(\alpha,\beta\right)\] be a fixed point. The mid-point of AP lies on
a) a circle of radius 2e
b) an ellipse of eccentricity \[\sqrt{e-1}\]
c) a hyperbola of eccentricity e
d) a hyperbola of eccentricity \[\frac{e}{\sqrt{2}}\]
Explanation:


7. Length of the transverse axis of the rectangular hyperbola xy = 36 is
a) \[6\sqrt{2}\]
b) 12
c) \[12\sqrt{2}\]
d) 24
Explanation:

8. Let A and B be two points on the hyperbola \[31x^{2}-29y^{2}=1\] such that the
chord AB subtends a
right angle at O, the centre of the hyperbola then \[\frac{1}{\left(OA\right)^{2}}+\frac{1}{\left(OB\right)^{2}}\] is
a) 60
b) 2
c) 62
d) 58
Explanation:

9. Let \[S_{1}\] and \[S_{2}\] be two fixed circles of different radii with centre \[C_{1}\] and \[C_{2}\] . The centre C of circle S
Which touches \[S_{1}\] and \[S_{2}\] externally traces
a) circle
b) an ellipse
c) a hyperbola
d) a straight line
Explanation:


10. Let length of transverse axis of a hyperbola with eccentricity \[\sqrt{5}\] be 4. The difference between length of latus rectum and conjugate axis is
a) 8
b) 4
c) 2
d) 1
Explanation:
