1. The tendency of rotation of the body along any axis is also called ___________
a) Moment of inertia
b) Moment of couple
c) Torque
d) Force
Explanation: The tendency of rotation of the body along any axis also called the torque. It is the moment of the force acting perpendicular to the direction of the axis of rotation. If the axis and the force are meeting at any point then there is no moment applied by the force
2. The moment of the force is the product of the force and the perpendicular distance of the axis and the point of action of the force.
a) True
b) False
Explanation: The moment is the product of the force applied to the body and the perpendicular distance of the point of action of the force to the axis about which the body is being rotated. That is the moment is the cross product of the force and the distance between the axis and the point of action
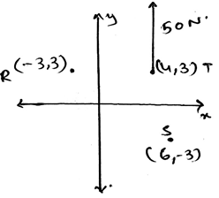
3. Determine the moment about the point T.
a) 0Nm
b) 350Nm
c) 100Nm
d) 200Nm
Explanation:As we know that the moment is the cross product of the distance and the force we will try to apply the same here. We see that the perpendicular distance is 0m. Thus we get the distance. And hence multiply it with the force, 0x50
4. The moment axis is in the direction perpendicular to the plane of the force and the distance.
a) True
b) False
Explanation: The moment axis is always perpendicular to the planes of the force and the distance of the axis and the point of action of the force on the body. This means that the moment is the cross product of the force and the distance between the axis and the point of action of the force
5. Find the moment along T. 
a) 1200Nm
b) 600Nm
c) 0Nm
d) 1400Nm
Explanation: As we know that the moment is the cross product of the distance and the force we will try to apply the same here. But here we have a number of forces components acting on the T point. So by adding all the moments caused by all the forces will give us the value as 600Nm
6. If you are getting to know about the direction of the moment caused by the force applied on the body by using your wrist and curling it in the direction of the rotation then which of the following is not right?
a) The thumb represents the direction of the force
b) The thumb represents the direction of the moment
c) The fingers represent the direction of the force
d) The direction in which you curl your wrist is towards the direction of the distance from point of contact of force to the axis of rotation.
Explanation: The curled hand represents a various thing. The direction of the moment axis is given by the thumb. The direction of the force is given by the fingers. As we place the fingers on the force and curl towards the rotational direction of the body about the axis.
7. The moment axis, force and the perpendicular distance in the moment of the force calculation is lying in____________
a) Two planes perpendicular to each other
b) A single plane in the direction of the force
c) A single plane in the direction of the perpendicular distance
d) A single line in the direction of the force
Explanation: The moment axis, force and the perpendicular distance are lying in the three dimensional Cartesian. It doesn’t lye on the single plane. It also doesn’t lye in a single line. Nor in the direction of the force. Thus they all lye in the planes which are perpendicular to each other
8. If the rotation is clockwise in this page, suppose, then in which direction will the thumb project if you curl your hand in the same direction of the rotation?
a) It will point to the direction perpendicular to the plane of the paper and towards you
b) It will point to the direction perpendicular to the plane of the paper and away from you
c) It will point to the direction parallel to the plane of the paper and towards right
d) It will point to the direction parallel to the plane of the paper and towards left
Explanation: As the curling will give the direction perpendicular to the paper. But it does depend upon the rotation sense. In this example, the sense is clockwise. Thus the thumb goes into the paper. That is it goes away from the viewer. Thus the answer.
9. Which of the following is true?
a) Total moment of various forces acting on the body is the vector sum of all moments
b) Total moment of various forces acting on the body is the algebraic sum of all moments
c) Total moment of various forces acting on the body is always zero
d) Total moment of various forces acting on the body is the vector sum of all moments which is perpendicular to each other forces
Explanation: The moment is the vector quantity. Thus the value of the total moment caused by various forces acting on the body is the vector sum of all the vectors. Also, the moments are not perpendicular to each other, unless it is specified. Thus assumptions cant be taken for the direction of the moment.
10. Which of the following is true?
a) If we are considering the clockwise direction to be positive then the rotation along the counter clockwise direction is negative
b) If we are considering the clockwise direction to be negative then the rotation along the counter clockwise direction is also negative as no such assumptions can be taken
c) If we are considering the clockwise direction to be positive then the rotation along the counter clockwise direction is also positive as no such assumptions can be taken
d) If we are considering the clockwise direction to be negative then the rotation along the counter clockwise direction is neither positive nor negative as we only pre assumed the clockwise direction
Explanation: We can take such assumptions. We are free to do so. We just need to specify if clockwise is positive then the counter clockwise is to be negative. Also, such an assumption is very useful in 2D calculation of the moments caused by various forces on the body